Jurnal Kimia Sains dan Aplikasi 23 (9) (2020): 325-332

Determination of Shelf Life of Herbal Products from the Combination of Stevia rebaudiana, Curcuma zanthorrhiza and Honey (Stekurmin MD) through the Accelerated Shelf Life Test (ASLT) Method

Yohanes Martono a,*, Fidela Novitasari a, November Rianto Aminu a

a Chemistry Study Program, Faculty of Science and Mathematics, Satya Wacana Christian University, Salatiga, Indonesia

* Corresponding author: yohanes.martono@uksw.edu

https://doi.org/10.14710/jksa.23.9.325-332

Article history:

Received: 21st April 2020

Revised: 1st September 2020

Accepted: 7th September 2020

Online: 30th September 2020

Abstract

Stekurmin MD is a syrup preparation formulated from the extract of Stevia rebaudiana leaves, temu lawak (Curcuma zanthorrhiza), and honey. One of the active compounds in Stekurmin MD products is phenolic and flavonoid compounds in which the active phenolic and flavonoid compounds can be degraded during the storage period. This study aimed to determine the shelf life of Stekurmin MD products based on the degradation of phenolic compounds and flavonoids. The Accelerated Shelf Life Test (ASLT) method was used in determining the shelf life kinetics of this product. Phenolic and flavonoid concentrations were determined using the UV-Vis spectrophotometric method with the gallic acid standard for phenolic and quercetin standard for flavonoids. Degradation of phenolic and flavonoid compounds was determined every 7 days during 35 days of storage at 25, 35, 45, and 55°C ± 2°C. In natural ingredients, there is a multi-mechanism reaction. The shelf life of Stekurmin MD products based on the degradation of phenolic and flavonoid active ingredients at room temperature were 39.909 days and 23.53 hours, respectively.

Keywords: Accelerated Shelf Life Test (ASLT); Stevia rebaudiana; shelf-life; phenolic; flavonoids

1. Introduction

One of the main aspects of the development of pharmaceutical ingredients for active pharmaceutical ingredients (API) is an accurate estimate of chemical stability. The expiry or shelf life of a medicinal product, according to the definitions of the USA Food Drug Administration (FDA) stability guidelines, is the time from the date of manufacture to the date on which the chemical activity of the drug decreases or when the product degrades to predetermined levels, under recommended storage conditions [1]. Inspection specifications or storage time or product life specifications must be met throughout the shelf life with API stability of 90% -110% [2]. If a pharmaceutical product exceeds or less than the specified limit, the product is declared to have no impact on health. Therefore, pharmaceutical or health products must be stable for some time after manufacture. Shelf life must be determined quickly and accurately to improve the formulation development process.

Martono and Muninggar [3] makes a health product from a combination of herbs from Stevia rebaudiana, temu lawak (Curcuma zanthorrhiza), and honey is named Stekurmin MD. Stekurmin MD product was proven to have antidiabetic activity in streptozotocin (ZTZ) induced mice. The active compounds or APIs contained in Stekurmin MD products include total phenolic compounds and flavonoids. One method that can be used to determine Stekurmin MD products' shelf life is the Accelerated Shelf Life Test (ASLT) with the Arrhenius approach [4]. Where k (reaction rate constant), k0 (pre-exponential constant), Ea (activation energy (cal/mol)), R (gas constant 1.986 (cal/mol)) and T (temperature (K)) with the equation as following:

1

The literature search shows that the use of the ASLT method has been widely reported. Putri and Yuniastri [5] conducted an estimation of the shelf life using the Arrhenius Model (ASLT) method applied to Jamu “Sari Rapet Super.” The parameters observed were moisture content with storage treatment at 25°C, 35°C, 45°C and observed on days 0, 1, 5, 10, 15, 20 for one month. The results showed that storage with packaging at 25°C was 34,826 days, while without packaging at 25 ° C was 10,989 days. Swadana and Yuwono [6] conducted an estimation of apple-flavored drinks' shelf life using the ASLT method with the Arrhenius Approach, which was simulated at three storage temperature conditions in the incubator (30°C, 35°C, and 45°C). During the storage process, the parameters observed were pH, color, total acid, vitamin C levels, total dissolved solids, and organoleptic. The results showed that the smallest activation energy value was used to determine the product's shelf life, namely the total acid parameter (first-order reaction) with linear regression y = -2127.944x - 0.244. The apple-flavored beverage's shelf life is one year two months at 25°C [6]. While Arif et al. [4] estimated the shelf life of soursop fruit juice (Annona muricata L.), based on physical and chemical damage parameters using the ASLT method, including analysis of vitamin C, brightness, total acid, and pH and observed every five days for one month in an incubator at a temperature of 30°C, 35°C and 40°C. The results showed that the soursop juice had a shelf life at a temperature of 30°C, 35°C and 40°C, for 3.8, 2.8, and 2.1 months, respectively. Prchalová et al. [7] determined the shelf life of baby food fruit, which was determined based on the degradation of active phenolic compounds at 20 and 30°C with a shelf life of 692 and 318 days, respectively. However, the estimation of natural herbal products' shelf life based on the content of phenolic compounds and flavonoids is still limited.

Stekurmin MD stability research is significant to determine its shelf life. This study aims to determine Stekurmin MD herbal products' shelf life based on the content of total phenolic compounds and flavonoids, which provide kinetic parameters for reaction rates. The results can be used to characterize the relationship between degradation and storage conditions. Reaction kinetics include simple and complex reaction kinetics. So far, the analysis has only been carried out to the simple reaction analysis with the reaction order's determination. No statistical analysis has been carried out on the possibility of various reaction orders, which are still started with a simple reaction. Determination of the reaction order is done by matching the experimental graph to a rate law in order to obtain a result that satisfies the correlation coefficient and standard deviation parameters. Then proceed with reviewing the prediction of the mechanism that occurs.

2. Methodology

2.1. Research venue and time

This research was conducted at the Chemistry Laboratory, Chemistry Study Program, Faculty of Science and Mathematics, Satya Wacana Christian University Jalan Diponegoro 52-60 Salatiga, Central Java, Indonesia. This research was conducted in September-November 2019.

2.2. Equipment and Materials

The samples used were the leaves of Stevia rebaudiana (Bert.) (Tawangmangu Plantation, Central Java). The chemicals used are distilled water, NaCl (Merck CAS 7647-14-5), aluminum plate, Folin-Ciocalteu (pro-analysis degree, Merck, Germany), Na2CO3, gallic acid standard with a purity of 98% (Merck, Germany), NaNO2, Al(NO3)3, NaOH, quercetin standards (pro analysis degree, Sigma, Germany), honey, temu lawak, CMC and glycerin.

The equipment used was cabinet drying, grinder (AIRLUX), 60 mesh sieve, hotplate stirrer (model L-81), analytical balance 0.1 mg (Ohaus, TAJ602), power supply (Goldstar), glassware (Pyrex), spectrophotometer. UV-Vis (UV Mini 1240 Shimadzu).

2.3. Sample Preparation

Samples that have been cleaned from the ground are dried in a drying cabinet for 24 hours at a temperature of ± 50°C and then crushed using a grinder. The fine samples were sieved using a 60 mesh sieve [8].

2.4. Sample Extraction Preparation

Samples of sieved stevia leaves were weighed and extracted by maceration at 60°C using distilled water with a sample: distilled water ratio of 1:40 w/v. Maceration was carried out for 20 minutes for four cycles of re-extraction [9].

2.5. Dechlorophylation [10]

To 100 mL of extracted filtrate, 1% salt (NaCl) was added to the total volume. Then electrolysis was carried out for 26 minutes using an aluminum plate (measuring 3 × 15 cm) as the electrode. The current used in the power supply was 0.8 A. Then, the filtrate was filtered and prepared for further treatment.

2.6. Stekurmin MD Preparation

Stevia syrup was prepared by formulating the water extract of S. rebaudiana, temu lawak, and honey. The syrup was made by adding CMC and glycerin.

2.7. Accelerated Shelf Life Test (ASLT)

A total of 20 mL of Stekurmin MD syrup was put into sample bottles and stored at various temperatures (25°C, 35°C, 45°C and 55°C ± 2°C) for 35 days. The measurement of phenolic and flavonoid content was carried out every seven days. Furthermore, the degradation reaction order was determined based on the highest coefficient of determination (R2). Then the value of ln k for each temperature was curved following equation 1. Determination of shelf life using the chosen reaction order was at the critical limit of the degraded active ingredient content of 10% or t90 [4].

2.8. Determination of Total Phenolic Content

A total of 1.0 mL of sample was added with 2.0 mL of 10% Folin-Ciocalteu and 2.5 mL of 7.5% Na2CO3. Then, the solution's absorbance was measured with a UV-Vis spectrometer at a wavelength of 718 nm. Total phenolic content was measured based on the standard curve between the standard concentration of gallic acid (µg GAE/mL sample) and the absorbance at a wavelength of 718 nm. The total phenolic content is expressed as gallic acid equivalent/mL sample (µg GAE/mL sample) [11].

2.9. Determination of Total Flavonoid Content

A total of 2 mL of sample was added with 0.2 mL of 5% NaNO2 then allowed to stand for 6 minutes, then added with 0.2 mL of Al(NO3)3 10% and left for 6 minutes, followed by the addition of 2 mL of 4% NaOH and let stand 15 minutes. The absorbance of the solution was measured using a UV-Vis spectrometer at a wavelength of 501 nm. Total flavonoid levels were measured based on a standard curve between the standard concentration of quercetin and the absorbance at a wavelength of 501 nm. The total flavonoid level was expressed as a quercetin equivalent/mL sample (µg QAE/mL sample) [12].

2.10. Data analysis

The determination of shelf life was carried out based on data obtained from phenolic and flavonoid analysis, using regression between the concentration of the active ingredient and the length of storage time (days) at each temperature. The k values obtained from linear regression are then plotted as ln k against 1/T to determine the activation energy (Joule).

3. Results and Discussion

3.1. Phenolic

In this study, total phenolic measurements were carried out by the Folin-Ciocalteu method in an alkaline atmosphere. This method's principle is the formation of a complex blue compound whose absorbance can be measured at a wavelength of 718 nm (A718) by UV-Vis spectrophotometry. Folin-Ciocalteu reagent oxidizes sphenolate (alkaline salt) or phenolic-hydroxy groups to reduce heteropoly acid (phosphomolybdate-phosphotungstate), which is present in Folin-Ciocalteu reagent, to become a molybdenum-tungsten complex which is bluish-green [13].

In the measurement, Na2CO3 was added because phenolic compounds can only react with Folin-Ciocalteu reagent in alkaline conditions so that protons in phenolic compounds dissociate into phenolic ions [13, 14]. The occurrence of a reaction was indicated by the appearance of blue color in the solution. The blue color formed was increasingly concentrated equally to the concentration of phenolic ions formed so that A718 increased. The greater the concentration of phenolic compounds, the more phenolic ions reduce heteropoly acids [15].

Figure 1. The reaction of gallic acid in the Folin-Ciocalteu reagent [16].

Table 1 and Figure 3 present the average value of phenolic content at various storage periods. It can be seen that the phenolic concentration value increased during initial storage. This can happen because phenolic compounds are more soluble in the Stekurmin MD product system. In addition, flavonoid compounds are degraded into phenolic compounds with smaller molecular weights [17]. The product kinetics of Stekurmin MD was determined based on the kinetics of the increase in phenolic active ingredients using the Arrhenius equation. In this study, an analysis of phenolic and flavonoid compounds was carried out because flavonoid compounds are phenolic compounds, but not all phenolic compounds are included in flavonoid compounds. Therefore, there may be phenolic compounds that are not flavonoid compounds that can influence the Stekurmin MD system in determining shelf life.

a

b

Figure 2. (a) Structure of phenolic compounds (b) Structure of flavonoid compounds

Table 1. Mean values of phenolic content (µg GAE/mL sample) at various storage periods

Time (day)/

Temperature (°C)

25°C

35°C

45°C

55°C

0

30.578

30.578

30.578

30.578

7

181.313±0.989

178.646±1.469

189.728±0.514

220.424±1.141

14

192.056±0.424

194.741±0.723

195.667±0.278

285.250±0.139

21

175.667±1.002

183.444±1.273

188.259±0.404

310.111±3.056

28

177.148±0.404

169.972±1.250

193.167±0.321

342.333±1.398

35

181.870±0.723

175.019±0.912

202.519±1.092

379.833±0.278

Figure 3. Mean Phenolic Content (µg GAE/mL sample) vs. Storage Time at various temperatures (days)

Based on Table 2, the kinetics of the increase in Stekurmin MD products' increase in phenolic compounds follows the order 0 reaction. The determination of this reaction order is because it provides the highest determination coefficient value (R2).

From the linear regression equation obtained from the graph of the effect of storage on the phenolic value at each storage temperature, it can be obtained that the k value (constant reaction rate of increasing the value of phenolic content) which is the slope of the curve (gradient). The increase in phenolic values at each storage temperature follows the linear regression curve equation shown in Table 3.

Table 2. Determination of the Phenolic Reaction Order based on the Value of the Coefficient of Determination (R2)

Temperature (°C)

Phenolic

Order 0

Order 1

Order 2

25

0.8802

0.8682

0.8612

35

0.8196

0.8408

0.8515

45

0.9028

0.8789

0.8648

55

0.9573

0.9015

0.8683

Table 3. Equations of linear regression curves; concentration versus time relationship

Temperature (°C)

Kinetics parameters

Equation

R2

k (µg GAE/mL sample/day)

25

y = 4.5832x + 45.068

0.8802

4.5832

35

y = 4.3702x + 47.98

0.8196

4.3702

45

y = 5.1681x + 45.101

0.9028

5.1681

55

y = 10.309x + 49.228

0.9573

10.309

Based on the Arrhenius equation, the k value is expressed as ln k plotted against storage temperature (1/T). The curve relating ln k to storage temperature (1/T) is presented in Figure 4.

Figure 4. Relationship between ln k and storage temperature (1/T) of phenolics

From the relationship between storage temperature (1/T) and ln k, the equation y = -4305.9x + 15.366 with the coefficient of determination (R2) is 0.878. The curve slope is the activation energy divided by the gas constant (Ea/R). R has a value of 8.314 J/mol K. The amount of activation energy is obtained by multiplying R and Ea so that the activation energy value is 35799 J.

Activation energy is the minimum energy used for phenolic compounds, an increase of 35.799 kJ. The value of activation energy at increasing the value of phenolic concentrations was lower than the value of activation energy for phenolic degradation in herbal products from Syzygium cumini L., agar, pectin, and polyextrose, which was 39.22 kJ/mol [18]. Increasing the phenolic content is more possible in this case, because in the herbal product system Stekurmin MD, there are compounds that can be degraded into phenolic compounds.

3.2. Determination of shelf-life based on active phenolic compounds using polynomial regression

The kinetics of phenolic increase with the Ea value obtained could not determine phenolic active compounds' degradation value for Stekurmin MD products. This is because there has not been a degradation reaction of phenolic compounds during 35 days of storage, as evidenced by the increased kinetics of phenolic compounds. Therefore, it is assumed that a multi-component reaction occurs, which may be due to complex intermediates in the reaction [19]. An oxidation reaction may occur in the herbal product Stekurmin MD, which results in degradation of the phenolic compounds [20]. Oxidation by enzymatic and non-enzymatic mechanisms can occur. Enzymatic oxidation by the oxidation mechanism of phenolic compounds includes hydroxylation at ortho positions adjacent to existing phenolic substrate groups and oxidation of ortho-dihydroxybenzenes on ortho-benzoquinones (Figure 5).

Figure 5. Enzymatic oxidation process [21]

In this study, a calculation using polynomial equations was tried to provide more accurate modeling with actual data and provide a better coefficient of determination (close to 1). Polynomial regression is a nonlinear regression model formed by adding up the effect of each predictor variable (X), which is elevated to the k-order. In general, the polynomial equation is as follows:

(2)

Figure 6. The curve of Phenolic Polynomials at 25°C

Table 5. Polynomial equations and phenolic determination coefficient

Temperature (°C)

Phenolic

Polynomial Line Equations

25

y = -0.1745x² + 10.342x + 31.02

0.9957

35

y = -0.2057x² + 11.159x + 31.419

0.984

45

y = -0.1746x² + 10.93x + 31.047

0.9961

55

y = -0.2243x² + 17.711x + 31.171

0.9983

In the line equation obtained from the concentration-time relationship curve, there is a peak point at a certain concentration and time. The determination of the degradation of t90 is calculated from the peak point of the polynomial regression. The vertex is defined as the first derivative of the polynomial curve equation presented in Table 6. Time (days) is the time required to reach the phenolic concentration at the peak point (A [µg GAE/mL sample]). The 90% degradation of active phenolic compounds is calculated from the peak point entered into the polynomial line equation using the abc formula in Equation 3. So that the shelf life value is obtained based on the active phenolic compounds presented in Table 6.

(3)

This result is different from the shelf-life value of the herbal product Syzygium cumini L., agar, pectin, and polyextrose. The degradation of active phenolic compounds at 10°C has a shelf life of 186 days [18]. This very significant difference is due to different matrices in the sample. The herbal products in this study have a more complex matrix with various natural ingredients in the product. The estimated shelf life of herbal products such as the herbal medicine “Sari Rapet Super” under storage conditions at 25°C is 34,826 days [5]. These results indicate that Stekurmin MD herbal products' shelf life, based on the content of phenolic compounds, is not much different from the herbal product “Jamu Sari Rapet Super.”

Table 6. Determination of 10% degradable Phenolic Content

Temp. (°C)

Phenolic

Phenolic Peak Point - Order 2 Polynomial

A90% (µg GAE/mL sample)

Shelf life (day)

Time (day)

A (µg GAE/mL sample)

25

29.633

184.253

165.828

39.909

35

27.124

182.760

164.484

36.550

45

31.300

202.102

181.892

42.059

55

39.481

380.792

342.712

52.510

3.3. Flavonoid

Total flavonoids were measured by the AlCl3 colorimetric method. The principle of determining the flavonoids' levels in the aluminum chloride method is the formation of complexes between aluminum chloride and the keto group on the C-4 atom and the hydroxy group on the neighboring C-3 or C-5 atoms of the flavone and flavonol groups [21]. This complex's formation will shift the wavelength towards the visible where the solution changes color to yellow [22]. The use of NaNO2 and NaOH will form a complex NaNO2-AlCl3-NaOH system, which shows a unique color based on the reaction of aluminum ions with flavonoids under alkaline conditions to form complex compounds [23].

Figure 7. The reaction of quercetin with AlCl3 reagent [21]

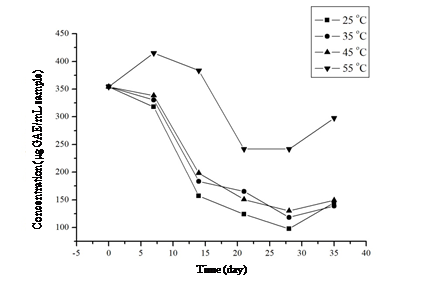
The compound used as a standard in determining the flavonoids' levels is quercetin because quercetin is a flavonoid in the flavonol group with a keto group on the C-4 atom and the hydroxyl group on the neighboring C-3 and C-5 atoms [21]. Measurement of total flavonoids refers to the standard quercetin curve that has been made. Standard curves were made at various concentrations of 10-90 μg/mL and the equation y = 0.0017x - 0.0032 with R2 = 0.999 was obtained. The coefficient of determination, which is getting closer to 1, indicates that the analysis method is good. According to Harmita [23], the acceptance criteria are the correlation coefficient (R) close to 1 (0.990 ≤ R ≤ 1). Table 7 shows the average value of the flavonoid content at various storage times at different temperatures. Based on Table 7 and Figure 4, it can be seen that the value of the flavonoid content has decreased during storage. The product kinetics of Stekurmin MD was determined based on the derivation kinetics of the flavonoid active ingredients using the Arrhenius equation (equation 1).

Table 7. Mean values of flavonoid content (µg QAE/mL sample) at various storage periods

Time (day)

25°C

35°C

45°C

55°C

0

354.118

354.118

354.118

354.118

7

317.782 ± 2.618

330.276 ± 2.676

338.441 ± 0

415.153 ± 0

14

157.059 ± 2.941

183.529 ± 0

198.235 ± 2.941

383.529 ± 0

21

124.118 ± 2.941

165.294 ± 0

150.588 ± 0

241.765 ± 0

28

97.647 ± 0

118.235 ± 2.941

130 ± 0

241.765 ± 0

35

144.706 ± 0

138.824 ± 0

149.118 ± 1.471

297.647 ± 2.941

Figure 8. Mean values of flavonoid content (µg QAE/mL sample) vs. storage time (days) at various temperatures

Based on Table 8, the kinetics of the degradation of flavonoids in Stekurmin MD products follow a second-order reaction. Determination of this reaction order because it provides the highest coefficient of determination (R2). From the linear regression equation obtained from the graph of the effect of storage on the value of flavonoids at each temperature, it can be obtained that the value of k (constant rate of reaction to decrease the value of flavonoid content) is the slope of the curve (gradient). The decrease in flavonoid content at each temperature follows the linear regression curve equation shown in Table 9.

Table 8. Determination of the Flavonoid Reaction Order based on the Value of the Coefficient of Determination (R2)

Temperature (°C)

Flavonoid

Order 0

Order 1

Order 2

25

0.9047

0.945

0.9626

35

0.9153

0.9429

0.9387

45

0.9115

0.9412

0.9555

55

0.6042

0.6346

0.6601

Table 9. Equations of linear regression curves relationship [1/concentration] to time

Temp.(°C)

Kinetics parameters

Equation

R2

k (µg QAE/mL sample -1 day-1)

25

y = 0.0003x + 0.0022

0.9626

3×10-4

35

y = 0.0002x + 0.0023

0.9387

2×10-4

45

y = 0.0002x + 0.0023

0.9555

2×10-4

55

y = 6E-05x + 0.0024

0.6601

6×10-5

This result is different from the research of Wang and Zhao [24], who obtained that the rate constant for quercetin degradation based on order 1 was greater, namely 4.37 × 10-2 to 5.97 × 10-2 h-1. A larger reaction rate constant indicates the compound is easier to degrade. This may be due to the complexity of the different sample matrices. Based on the Arrhenius equation above, the k value expressed as ln k is plotted against storage temperature (1/T). The curve connecting ln k to storage temperature (1/T) can be seen in Figure 9.

Figure 9. Relationship between ln k and storage temperature (1/T) of flavonoids

From the relationship between storage temperature (1/T) and ln k, the equation y = 5345.4x-25.98 with a coefficient of determination (R2) 0.9873 is obtained. The curve slope is the activation energy divided by the gas constant (Ea/R), R has a value of 8.314 J/molK. The amount of activation energy is obtained by multiplying R and Ea so that the activation energy value is 44441 J.

The activation energy (Ea) of 44.441 kJ is the energy needed for the flavonoid active compound's degradation reaction in Stekurmin MD herbal products. The higher Ea value in Stekurmin MD explains that flavonoids are more difficult to degrade in this system. Based on the Arrhenius equation with an Ea value of 44441 J and the equation between ln k and 1/T is y = 5345.4x-25.98, the shelf life value of Stekurmin MD products can be determined by determining the k value at 298 K/25°C (room temperature) and 277 K/4°C (refrigerator temperature) were 3.2 × 10-4 µg QAE/mL sample-1 day-1 and 1.25 × 10-3 µg QAE/mL sample-1 day-1 respectively. By using the 2nd order equation according to equation 4 below:

The activation energy (Ea) of 44.441 kJ is the energy needed for the flavonoid active compound's degradation reaction in Stekurmin MD herbal products. The higher Ea value in Stekurmin MD explains that flavonoids are more difficult to degrade in this system. Based on the Arrhenius equation with an Ea value of 44441 J and the equation between ln k and 1/T is y = 5345.4x-25.98, the shelf life value of Stekurmin MD products can be determined by determining the k value at 298 K/25°C (room temperature) and 277 K/4°C (refrigerator temperature) were 3.2 × 10-4 µg QAE/mL sample-1 day-1 and 1.25 × 10-3 µg QAE/mL sample-1 day-1 respectively, using the 2nd order equation according to equation 4 below:

(4)

Where [A] is the flavonoid concentration 90% of the initial flavonoid concentration, [A0] is the initial flavonoid concentration, k is the reaction rate constant at 298 K and 277 K, and t is the shelf life with a critical limit of flavonoid degradation up to 90%. From the initial concentration, the formula for determining the shelf life can be derived as in equation 5 below:

(5)

Based on equation 5, the shelf life value can be determined, as shown in Table 10:

Table 10. Shelf life MD Stekurmin product based on Active Flavonoid Compounds

T (K)

Shelf Life (day)

298

0.981

277

0.251

Shelf life of Stekurmin MD products in Table 10 is determined based on the degradation of the flavonoid active compounds in Stekurmin MD products. The dominant flavonoid compounds found in the leaves of Stevia rebaudiana (Bert.) Include quercetin-O-glucoside, quercitrin, kaempferol-3-O-rhamnoside, centraureidin, and quercetin 3-O-arabinoside [25, 26]. From Table 10, it can be seen that at room temperature (298 K/25°C), Stekurmin MD products have a longer shelf life than refrigerator temperatures (277 K/4°C). This is because, at 4°C, the flavonoids experience degradation due to oxidation reactions. Quercetin at room temperature will undergo an oxidation reaction that can degrade the active compound [23]. The oxidation reaction involves two quercetin electrons. Quercetin loses one-electron to form semi-quinones, followed by losing a second one-electron to form o-quinones. Furthermore, oxygen is transformed into hydrogen peroxide, where the redox cycle Fe3+/Fe2+ and Cu2+/Cu+ is an intermediate cycle [21].

Figure 10. Oxidation reaction which produces kunion and hydrogen peroxide with catalyst Fe3+/Fe2+ and Cu2+/Cu+ [20].

4. Conclusion

The shelf life of Stekurmin MD products with the Accelerated Shelf Life Test (ASLT) method based on the degradation of the active ingredients of phenolic and flavonoids at room temperature were 39.909 days and 23.53 hours, respectively. In this study, the results were good enough for shelf life based on phenolic active ingredients and less satisfactory results based on active flavonoids.

Acknowledgment

This research was supported by Universitas Kristen Satya Wacana through Internal Competition of Applied Research Grant Year 2018 contract number: 242/Penl.Rek./5/II/2018.

References

[1] Zhewen Fan, Lanju Zhang, One- and Two-Stage Arrhenius Models for Pharmaceutical Shelf Life Prediction, Journal of Biopharmaceutical Statistics, 25, 2, (2015), 307-316 https://doi.org/10.1080/10543406.2014.972743

[2] Panitia Farmakope Indonesia, Farmakope Indonesia, Departemen Kesehatan Republik Indonesia, 2014

[3] Yohanes Martono, J. Muninggar, Optimasi Proses Produksi Minuman Fungsional Stevia Sebagai Obat Herbal Terstandar (OHT) Yang Berkhasiat Antidiabetes, Universitas Kristen Satya Wacana, Salatiga, 2017

[4] Subarkah Arif, Susinggih Wijana, Arie Febrianto Mulyadi, Pendugaan Umur Simpan Minuman Sari Buah Sirsak (Annona muricata L.) berdasarkan Parameter Kerusakan Fisik dan Kimia dengan Metode Accelerated Shelf Life Testing (ASLT), Industria: Jurnal Teknologi dan Manajemen Agroindustri, 4, 2, (2016), 89-96

[5] Rika Diananing Putri, Ratih Yuniastri, Pendugaan Umur Simpan Menggunakan Metode Accelerated Shelf Life Test (ASLT) Model Arrhenius pada Jamu “Sari Rapet Super”, Journal of Food Technology and Agroindustry, 1, 2, (2019), 37-42 https://doi.org/10.24929/jfta.v1i2.781

[6] Abisatya Widya Swadana, Sudarminto Setyo Yuwono, Pendugaan Umur Simpan Minuman Berperisa Apel Menggunakan Metode Accelerated Shelf Life Testing (ASLT) dengan Pendekatan Arrhenius, Jurnal Pangan dan Agroindustri, 2, 3, (2014), 203-213

[7] J Prchalová, H Čížková, R Ševčík, K Hanušová, A Rajchl, Evaluation of shelf-life of fruit baby food, Agronomy Research, 14, 2, (2016), 556-568

[8] Yohanes Martono, Dewi K. A .K. H., Optimization of Production Process Stevia Beverages with Antidiabetic Activity, The 2nd International Conference of the Indonesian Chemical Society, Surakarta, 2013

[9] Yohanes Martono, Sugeng Riyanto, Abdul Rohman, Sudibyo Martono, Improvement method of fast and isocratic RP-HPLC analysis of major diterpene glycoside from Stevia rebaudiana leaves, AIP Conference Proceedings, 1755, 1, (2016), 080001 https://doi.org/10.1063/1.4958509

[10] Sri Mulyanti, Optimasi Klarifikasi Ekstrak Air Stevia rebaudiana (Bert.) dengan Metode Elektrokoagulasi Menggunakan Elektroda Al dan Zn, Departemen Fisika, Universitas Kristen Satya Wacana, Salatiga, 2018

[11] Ki Won Lee, Young Jun Kim, Hyong Joo Lee, Chang Yong Lee, Cocoa Has More Phenolic Phytochemicals and a Higher Antioxidant Capacity than Teas and Red Wine, Journal of Agricultural and Food Chemistry, 51, 25, (2003), 7292-7295 https://doi.org/10.1021/jf0344385

[12] Jianguo Chen, Per Bendix Jeppesen, Reziwanggu Abudula, Stig E. U. Dyrskog, Michele Colombo, Kjeld Hermansen, Stevioside does not cause increased basal insulin secretion or β-cell desensitization as does the sulphonylurea, glibenclamide: Studies in vitro, Life Sciences, 78, 15, (2006), 1748-1753 https://doi.org/10.1016/j.lfs.2005.08.012

[13] Pramudita Dwi Apsari, Hari Susanti, Perbandingan Kadar Fenolik Total Ekstrak Metanol Kelopak Merah dan Ungu Bunga Rosella (Hibiscus sabdariffa Linn) secara Spektrofotometri, Prosiding Seminar Nasional Home Care, 2011

[14] Sri Wahdaningsih, Subagus Wahyuono, Sugeng Riyanto, Retno Murwanti, Penetapan Kadar Fenolik Total dan Flavonoid Total Ekstrak Metanol dan Fraksi Etil Asetat Kulit Buah Naga Merah (Hylocereus Polyrhizus (Fac Weber) Britton dan Rose), PHARMACON, 6, 3, (2017), 295-301

[15] Khadijah Khadijah, Ahmad Muchsin Jayali, Sudir Umar, Iin Sasmita, Penentuan Total Fenolik dan Aktivitas Antioksidan Ekstrak Etanolik Daun Samama (Anthocephalus macrophylus) Asal Ternate, Maluku Utara, Jurnal Kimia Mulawarman, 15, 1, (2017), 11-18 https://doi.org/10.30872/jkm.v15i1.495

[16] Xirley Pereira Nunes, Fabrício Souza Silva, Jackson Roberto Guedes da S Almeida, José Maria Barbosa Filho, Julianeli Tolentino de Lima, Luciano Augusto de Araújo Ribeiro, Lucindo José Quintans Júnior, Biological oxidations and antioxidant activity of natural products, in: V. Rao (Ed.) Phytochemicals as Nutraceuticals; Global Approaches to Their Role in Nutrition and Health, INTECH Open Access Publisher, New York, 2012

[17] Jeremy S. Barnes, Characterization of Flavonoid Reactivities and Degradation Products Using Online Continuous Flow Kinetic Measurements and Higher Order Mass Spectrometry, PhD Dissertations, Departement of Chemistry, University of Texas at Arlington, Arlington, 2014

[18] Sneha Sehwag, Rohit Upadhyay, Madhusweta Das, Optimization and multivariate accelerated shelf life testing (MASLT) of a low glycemic whole jamun (Syzygium cumini L.) confection with tailored quality and functional attributes, Journal of Food Science and Technology, 55, 12, (2018), 4887-4900 https://doi.org/10.1007/s13197-018-3423-4

[19] Guy B. Marin, Gregory S. Yablonsky, Denis Constales, Kinetics of chemical reactions: Decoding complexity, John Wiley & Sons, 2019

[20] Arief Fadillah, Agung Rahmadani, Laode Rijai, Analisis Kadar Total Flavonoid dan Uji Aktivitas Antioksidan Ekstrak Daun Kelubut (Passiflora foetida L.), Proceeding of Mulawarman Pharmaceuticals Conferences, 2017 https://doi.org/10.25026/mpc.v5i1.217

[21] Dyah Nur Azizah, Endang Kumolowati, Fahrauk Faramayuda, Penetapan kadar flavonoid metode AlCl3 pada ekstrak metanol kulit buah kakao (Theobroma cacao L.), Kartika: Jurnal Ilmiah Farmasi, 2, 2, (2014), 45-49 http://dx.doi.org/10.26874/kjif.v2i2.14

[22] Hongbin Zhu, Yuzhi Wang, Yuxuan Liu, Yalin Xia, Tian Tang, Analysis of Flavonoids in Portulaca oleracea L. by UV-Vis Spectrophotometry with Comparative Study on Different Extraction Technologies, Food Analytical Methods, 3, 2, (2010), 90-97 https://doi.org/10.1007/s12161-009-9091-2

[23] Harmita Harmita, Petunjuk Pelaksanaan Validasi Metode dan Cara Perhitungannya, Pharmaceutical Sciences and Research (PSR), 1, 3, (2004), 117-135 http://dx.doi.org/10.7454/psr.v1i3.3375

[24] Jing Wang, Xin-Huai Zhao, Degradation kinetics of fisetin and quercetin in solutions as effected by pH, temperature and coexisted proteins, Journal of the Serbian Chemical Society, 81, 3, (2016), 243-253 https://doi.org/10.2298/JSC150706092W

[25] Marco Ciulu, Rosa Quirantes-Piné, Nadia Spano, Gavino Sanna, Isabel Borrás-Linares, Antonio Segura-Carretero, Evaluation of new extraction approaches to obtain phenolic compound-rich extracts from Stevia rebaudiana Bertoni leaves, Industrial Crops and Products, 108, (2017), 106-112 https://doi.org/10.1016/j.indcrop.2017.06.024

[26] Amriteswori Rajbhandari, Margaret F. Roberts, The Flavonoids of Stevia rebaudiana, Journal of Natural Products, 46, 2, (1983), 194-195 https://doi.org/10.1021/np50026a010